How accurate are our results?
The proof of the pudding: How accurate are our results?
When we created the back-end code for the thermal management app, we worked to solve for multiple mathematical and physical models. It was a complex process since it involved operations at both the cell and module levels. While we had faith in our approach, the success of any numerical computation always rests on the answer to an important question: does it work?
The fact that we have also created our own experimental cell database for use in the absence of any experimental data added to our apprehension. Even if the chemistry is the same, will the results be accurate if the tested cell and our cells are from a different batch or manufacturer?
Excellent Correlation with Experimental results
We first validated the software for a case where we had experimental data (HPPC) available at the cell level and temperature data was available at the module level[1] (see Figure 1 for the experimental setup).
Figure 1: Experimental setup, Thermal Analysis of a Parallel-Configured Battery Pack (1S18P) Using 21700 Cells for a Battery-Powered Train1
The experiment was run on a 1S18P battery pack, using an INR21700-30T Samsung cell. Using the oorja workflow, we solved for this configuration, and found excellent match (within the experimental error margin) compared with experimental results for each of the cells in the pack, as can be seen in Figure 2.
Figure 2: Comparison of the experimentally measured cell temperatures within a pack1 vs. simulation data generated from oorja.
However, a lot of companies have one question: at the start of the design cycle, we don’t have ANY experimental data. How do we generate the first conceptual designs when we have no properties available, and no experimental data either? This led us to a question: can we build a database of cells, which can be used by anyone for a quick first cut analysis to get a fair idea about what the pack design should look like?
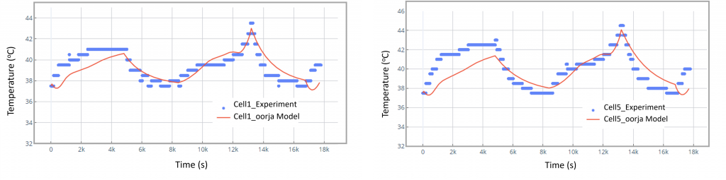
To answer this ques to a case where only pack level temperature data during real time operation was available. For this, we got data from the Everlasting Project[2], a project setup by the European Union for making EVs more reliable, and who have generated a wealth of real life data. The drive cycle data they had was for an INR 18650 MJ1 from LG Chem[3].
We used HPPC data from our cell database for the training part and ran the computations using the oorja software, and once again, the results were within 5% of the experimental data (Figure 3).
Figure 3: Comparison of the measured individual cell temperatures in a pack vs. simulation results from oorja.energy2
This is despite the fact that the cell on which the HPPC test was performed was from a different batch from the cells in the pack for which the experiments were performed. This has helped us validate our software for pack level thermal management.
Finetuning the design will further improve accuracy
Even without any experimental data, using the database available in oorja, users can parametrize pack configurations to get a first cut idea about how packs will behave for different layouts and cooling strategies. Table 1 also lists the time taken by the algorithm to make these predictions.
Of course, if you want increased accuracy, it goes without saying that the next step will be to perform your own experiments to fine tune the model and get even more accurate results, but the above results show that as a first cut, even without any experimental data, one can get very close to real life values and make intelligent decisions quickly on battery pack design early during the design phase.
Want to try the oorja application for thermal management? Contact us to get instant access.
References
- Kang, T.; Park, S.; Lee, P.-Y.; Cho, I.-H.; Yoo, K.; Kim, J. Thermal Analysis of a Parallel-Configured Battery Pack (1S18P) Using 21700 Cells for a Battery-Powered Train. Electronics2020, 9, 447. https://doi.org/10.3390/electronics9030447
- everlasting-project.eu/
- De Craemer, Klaas; Trad, Khiem (2021): Cyclic ageing with driving profile of a lithium ion battery module. 4TU.ResearchData. Dataset. https://doi.org/10.4121/14096567.v1
